1721 Swapping Nodes in a Linked List
You are given the head of a linked list, and an integer k.
Return the head of the linked list after swapping the values of the kth node from the beginning and the kth node from the end (the list is 1-indexed).
Example 1:
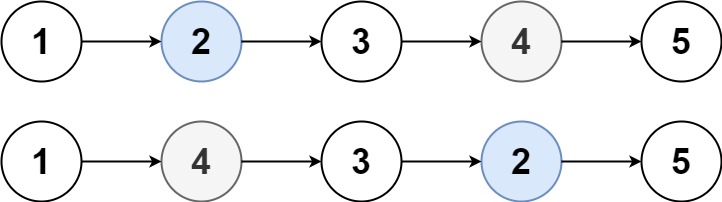
Input: head = [1,2,3,4,5], k = 2
Output: [1,4,3,2,5]Example 2:
Input: head = [7,9,6,6,7,8,3,0,9,5], k = 5
Output: [7,9,6,6,8,7,3,0,9,5]Example 3:
Input: head = [1], k = 1
Output: [1]Example 4:
Input: head = [1,2], k = 1
Output: [2,1]Example 5:
Input: head = [1,2,3], k = 2
Output: [1,2,3]Constraints:
The number of nodes in the list is
n.1 <= k <= n <= 1050 <= Node.val <= 100
这题一开始还以为是要sawp那个node,后来才发现swap value就好了。然后用快慢指针把back指针移动到正确位置。弄快慢指针的时候,顺便弄了front指针。最后swap就好了。
public ListNode swapNodes(ListNode head, int k) {
    if (head == null) {
        return head;
    }
    
    ListNode fast = head;
    ListNode front = head;
    while (k > 1) {
        fast = fast.next;
        front = front.next;
        k--;
    }
    
    ListNode back = head;
    while (fast.next != null) {
        back = back.next;
        fast = fast.next;
    }
    
    int val = front.val;
    front.val = back.val;
    back.val = val;
    
    return head;
}Last updated
Was this helpful?